您好,欢迎来到唐山职业教育网! 客服热线:400-6605-933

您所在的位置:唐山职业教育网 > 学生频道

学生频道

学习指导 升学指导 职业规划
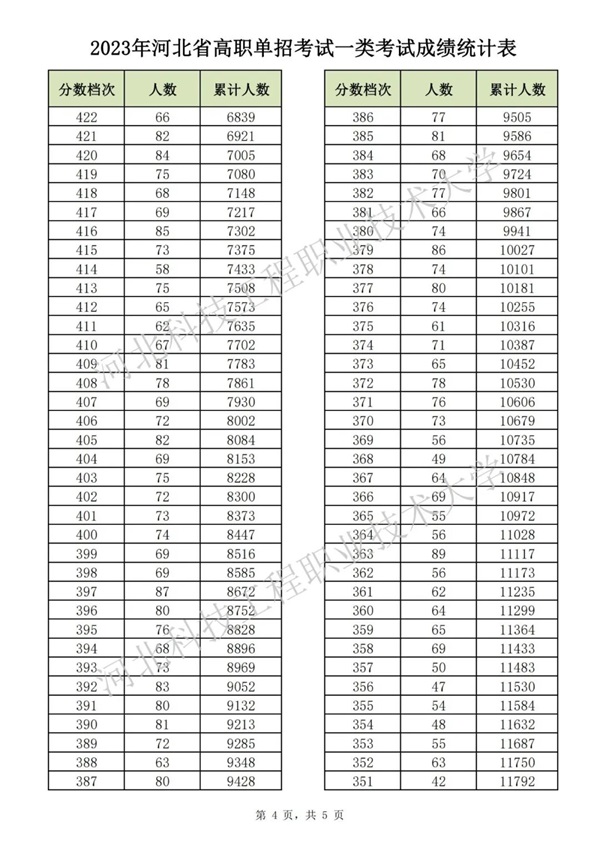
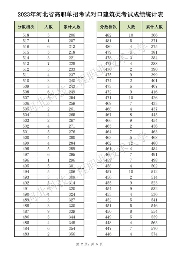
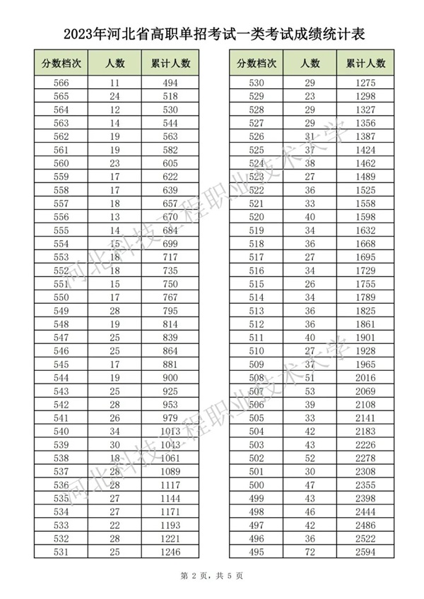
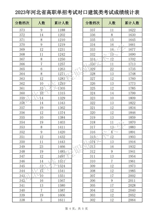
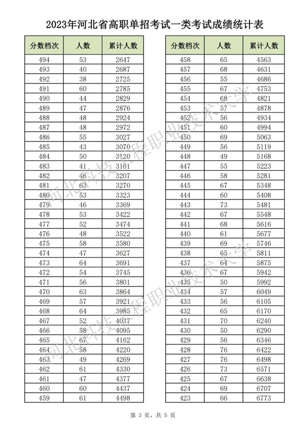
2023年河北省高职单招考试一类和高职单招对口建筑类考试成绩统计表
2023-04-14 11:06

 

 

 

还赠专升本升学规划、就业职业规划

如考后无需指导 支持全额退款

 

点击此查看更多2023年单招时间节点及政策信息

想要了解更多单招资讯或是单招其他相关内容

请添加薄老师微信:

联系电话:18532659572(同微信)

 

上一篇:2023年河北省高职单招考试四类和高职单招 对口农林类、对口畜牧兽医类考试成绩统计表
下一篇:2023年河北单招考试六类和高职单招对口学前教育类考试成绩查询公告

承办单位:唐山创元教育咨询有限公司 唐山职业教育网 版权所有:唐山创元教育咨询有限公司
 冀公网安备 13024002000309号 备案信息:冀ICP备11020808号-16 联系电话:13313292299 电子邮件:cy@zhijiaow.com 技术支持:职教网 山东技校网 河北技校网

招生咨询热线:400-6605-933